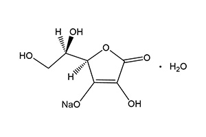
Sodium Erythorbate
White to yellowish-white crystalline powder, granules, or fine granules, odorless and slightly salty in taste.

C6H7NaO6・H2O
216.12
■ It is a stereoisomer of sodium ascorbate and, like sodium ascorbate, functions as an antioxidant and a reducing agent.
■ Since it is oxidized more slowly than vitamin C, it helps protect vitamin C in foods where both coexist.