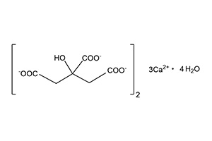
Calcium Citrate
A white powder with no odor.

C12H10Ca3O14・4H2O
570.49
■ Can be used as a nutritional fortifying ingredient for calcium supplementation.
■ Contains 21.1% calcium, the highest among fruit acid calcium salts.
■ Helps to firm the texture of food materials and improve product quality.
■ Can also be used as a seasoning ingredient.