Corporate Information
Company Corporate Information
IR
Sustainability
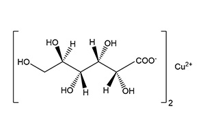
Copper Gluconate
Pale blue powder.
C12H22CuO14
453.84
■ Contains 14.0% copper. ■ Being water-soluble and odorless, it allows copper fortification with minimal impact on flavor.
Download Catalog (JP)
About the use of cookies
This website uses cookies. By continuing to use this website, you agree to the use of cookies.Privacy Policy