Corporate Information
Company Corporate Information
IR
Sustainability
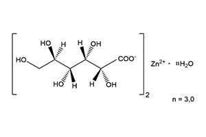
Zinc Gluconate
White, crystalline powder or granule.
C12H22O14Zn・nH2O n=3又は0
509.75(n=3) 455.70(n=0)
■ Contains 12.8% zinc. ■ Being water-soluble and odorless, it allows zinc fortification with minimal impact on flavor.
Download Catalog (JP)
About the use of cookies
This website uses cookies. By continuing to use this website, you agree to the use of cookies.Privacy Policy