Corporate Information
Company Corporate Information
IR
Sustainability
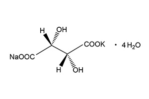
L-Sodium Potassium Tartrate (Tetrahydrate)
A white crystal or powder.
C4H4KNaO6・4H2O
282.22
■It is mainly used as a reducing agent in plating solutions.
About the use of cookies
This website uses cookies. By continuing to use this website, you agree to the use of cookies.Privacy Policy