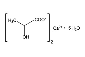
Calcium Lactate (pentahydrate)
White powder or granule, odorless or with a slightly characteristic odor.

C6H10CaO6・5H2O
308.3
■ It has a high calcium content, allowing calcium fortification with a small amount of addition.
■ Compared with other calcium sources, it has less bitterness and astringency, making it suitable for use in calcium fortification of beverages, jellies, gummy candies, and health foods.