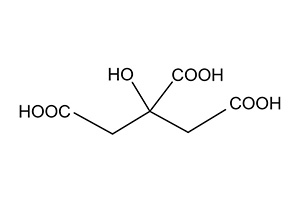
Citric Acid
A clear, colorless or slightly yellow liquid with no odor and a strong acidic taste.

C6H8O7
192.13
It is a 50% citric acid solution that has been finalized and processed at our domestic factory. It eliminates the hassle of dissolving and improves work efficiency.
■It is the main component of the sourness in citrus fruits. It provides a mild and refreshing acidity.
■By chelating metal ions, it helps prevent discoloration, cloudiness, and flavor deterioration in food.
■It inhibits the breakdown of vitamin C and enhances the preservation of food.
■It stabilizes emulsified fats.
For Foods with Functional Claims.
Citric acid has been reported to help reduce fatigue experienced in daily life or after exercise, and it can be used as a functional ingredient in functional labeled foods.
Our company also offers systematic reviews required for the submission of functional labeled foods.