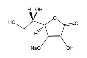
Sodium L-Ascorbate
White to yellowish-white crystalline powder, granule, or fine granule, odorless and slightly salty in taste.

C6H7NaO6
198.11
■ It can be used as a vitamin C fortifying agent in functional and refreshing beverages.
■ It can be used as an antioxidant in a wide range of foods.