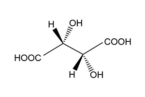
L‑Tartaric Acid
A colorless or fine white crystalline powder, odorless and acidic in taste.

C4H6O6
150.09
■ It has a sharp, clean acidity with a slightly astringent taste.
■ Can be used as an acidulant in soft drinks, confectionery, and wine.
■ Also applicable as a leavening agent in cookies and bakery products.