Corporate Information
Company Corporate Information
IR
Sustainability
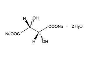
Sodium L-Tartrate
Colorless crystal or a white crystalline powder.
C4H4Na2O6・2H2O
230.08
When used together with tartaric acid, it can adjust the pH of foods through its buffering action.
Download Catalog (JP)
About the use of cookies
This website uses cookies. By continuing to use this website, you agree to the use of cookies.Privacy Policy